Giải pháp
Horse Construction cung cấp đầy đủ các loại vật liệu gia cố kết cấu với hỗ trợ kỹ thuật, hỗ trợ tài liệu, hỗ trợ sản phẩm, hỗ trợ phần mềm, hỗ trợ dự án.
The application of prestressed fiber reinforced polymer (FRP) plates to the reinforcement and repair of civil structures can improve the engineering efficiency and the stress state of members.

Effective prestressing force
A rectangular RC beam is studied. The FRP sheet is first applied with tension Fpf, and then the FRP sheet is pasted on the bottom of the RC beam (as shown in Figure 1). When FRP sheets and concrete are bonded firmly, anchorage at both ends of RC beam and release tension Fpf.
When the tension Fpf is released, it is assumed that the prestressed FRP sheet reinforced RC beam is in the elastic deformation stage and conforms to the plane section assumption.

Sketch of the force applied to FRP laminate

Stress distribution on Ⅰ—Ⅰ section of RC beam
According to the static equilibrium relation, the following equations can be listed.

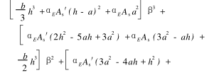
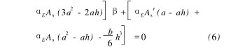
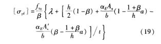
Formula: the tensile stress of FRP sheets released by tension F pf after the release of sigma PE. That is, effective prestressing; _s and_'s are the stresses of tensile steel bars (main bars) and compressive steel bars (erecting bars). Sigma C and sigma 'C are stress of concrete subjected to tension and compression respectively. A s and A 's are the cross-sectional area of tensile steel and compressive steel respectively. A CF is the cross-sectional area of FRP sheet. T is the thickness of the FRP plate. A is the thickness of reinforced concrete. B and H are the width and height of RC beam respectively. The definition of other symbols is shown in Figure 2.

In the formula, E s is the elastic modulus of reinforcing steel bar and E C is the elastic modulus of concrete.



Prestress loss
Prestress loss is unavoidable in prestressed structures, and there are many reasons for the loss of prestressing force. There are stress loss caused by friction between FRP laminate and concrete, stress relaxation caused by creep of FRP plate and stress loss caused by elastic compression of concrete. Among them, the stress loss caused by the elastic compression of concrete is the main prestress loss.
The sigma L is the prestress loss, and the sigma PF is the tensile stress of the FRP plate.
σ l = σ pf - σ pe
When the concrete is subjected to elastic deformation under the action of prestressing force, it is assumed that there is a plane section according to the deformation.
Δε pcf = Δε
From the stress-strain relationship

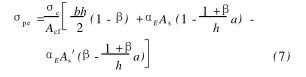
Allowable tension prestressing
After the prestressed FRP plate are bonded to RC beams which need reinforcement, the mechanical properties of the structure can be effectively improved and the reinforcement efficiency can be improved. However, the tensile prestress of the FRP plate is not the bigger the better, and the problem of the high tensile prestress will be the following:
(1) fiber breakage in FRP plates may be caused.
(2) the stress relaxation of FRP plate will increase with the increase of tensile force.
(3) the anchoring end will cause damage due to the excessive shear stress.
(4) The tensile prestress will cause micro-cracks on the tensile side of RC concrete. Therefore, the tensile Prestress Applied to FRP plates should be within the allowable range.


Bạn có thể tìm thấy mọi thứ bạn cần ở đây. Hãy tin tưởng và thử nghiệm các sản phẩm này, bạn sẽ thấy sự khác biệt lớn sau đó.
Dải / tấm polyme gia cường sợi carbon (CFRP) cường độ cao để gia cố kết cấu và sửa chữa bê tông
Tấm polyme gia cường sợi carbon (CFRP) ứng suất trước dùng để gia cố sàn, dầm nhằm tăng độ cứng, giảm biến dạng và độ võng của các cấu kiện, giảm vết nứt, tránh và ngăn ngừa nứt.