Giải pháp
Horse Construction cung cấp đầy đủ các loại vật liệu gia cố kết cấu với hỗ trợ kỹ thuật, hỗ trợ tài liệu, hỗ trợ sản phẩm, hỗ trợ phần mềm, hỗ trợ dự án.
Using FRP material can effectively enhance the aseismic capacity of frame structure and obviously improve the deformation and failure caused by earthquake. The improvement of structural strength is closely related to reinforcement methods. The results show that the strength of the frame strengthened by N SM method is increased by about 20% compared with the E B method.
Preface
FRP composite materials has become a new building material with excellent performance because of its light weight, high strength, corrosion resistance and easy construction. It is favored by engineers and is widely used in practical engineering. The mechanical properties of this kind of material will vary with its composition and reinforcement methods, which has been the subject of continuous research in the field of reinforcement. In this paper, two methods are used to study the nonlinear dynamic response of frames strengthened by F.
Two methods for FRP reinforcing frames
The framework to be analyzed in this paper will use two methods, FRP external bondingreinforcement and surface masonry reinforcement.
Because the frame structure under earthquake should follow the design principle of strong columns and weak beams, the reinforcement position is chosen on the frame columns of each story. Up to now, there has been a lot of research on the reinforcement method of post wound winding. The prominent advantage of this method is that it provides circumferential restraint for concrete members, effectively restricts the transverse deformation of R concrete due to Poisson's ratio effect, keeps the concrete in the state of three-dimensional compression, prevents it from expanding and breaking outward, and thus improves the ductility of columns. This is a relatively mature method, there are many examples in engineering practice, the use of results are satisfactory. However, from the experimental results, this kind of fiber direction perpendicular to the axial direction of the column wrapped reinforcement method, the column cross-section bearing capacity is very limited. The second reinforcement method involved in this paper, the NSM method, in which the longitudinal fibers needed to improve the flexural strength of columns are arranged before the transverse winding of FRP cloth, is a good way to solve the above problems. NSM method is a new method, which originated in Canada and is still in the experimental stage. It is mainly to overcome the premature peeling problem of FRP wrap or sheet or plate in strengthening beam members. The concrete method is to saw some grooves on the concrete surface, embed FRP bars or FRP strips in them, and then inlay them with epoxy resin. In this way, the contact area between FRP composite and concrete is greatly increased, and the effect of improving the peeling failure is remarkable. In the cantilever beam experiment conducted by Professor Sam I R izkalla and Tarek H assan, when the same area of FR P strips were strengthened by E-B method and N-SM method respectively, the latter improved the strength and stiffness of the members by 32% higher than the former. Moreover, the former caused peeling failure while the latter was destroyed by concrete crushing.
Calculation of nonlinear seismic responses of FRP strengthened frames by time history analysis
As a direct integration method, the time history method can more objectively and truly analyze the dynamic response of the whole process. Therefore, the analysis of FRP reinforcement effect is more reliable.
1. Calculation assumption
Plane section assumption
The normal section of each member of the frame remains plane after deformation, and the section strain is distributed in a straight line, and the relative slip between steel bar and concrete, concrete and fiber material is not considered.
Constitutive relations of various materials
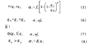
Under seismic action, material nonlinearity is the main factor affecting the dynamic response of FRP strengthened structures. Here, the stress-strain relationship of each material is determined as follows:
I) the stress-strain relationship recommended by H in the code for design of concrete structures in China.

Iii) FRP can be regarded as an ideal linear elastic material whose orthotropic material direction depends on the fiber arrangement direction.

2. Determine the mechanical model of the structure.
In dynamic analysis of frame structures, especially in nonlinear dynamic analysis, the amount of calculation is huge. From the point of view of structure and mechanics, a simple and reliable calculation model is adopted to simplify the dynamic equation and reduce the degree of freedom. Considering that the increase of the degree and strength of columns will lead to the change of load distribution and the transfer of the position of plastic hinge after FRP is used, this paper adopts the one-storey model 4, that is, the frame has a lumped mass in each storey, and the stiffness between storeys is formed by the bars. This model can solve the equations of motion according to the interlayer model with lumped mass, and distribute the external forces according to the stiffness matrix of the bar system. It can not only solve the dynamic characteristics and dynamic response of the whole structure quickly, but also consider the working state of each bar (elasticity or plasticity) carefully.
3. Restoring force model of structure
The restoring force characteristic curve can fully reflect the strength, stiffness, ductility and energy dissipation capacity of the structure or member, which is an important basis for the analysis of structural earthquake resistance. The restoring force model used in this paper is shown in Fig. L. (a) Diagram is a bilinear restoring force model skeleton line which is commonly used in the study of the F R auxiliary structure. Circle 1 is a bilinear hysteretic model considering the Baoxing lattice effect, which can reflect the absorption, dissipation of energy, stiffness and strength degradation of the structure under repeated loading.

4. The choice of seismic waves.
In time history analysis, the input of seismic wave should take into account the spectral characteristics, intensity and duration of Landa elements, so that the analysis results can reflect the weak links of the structure. If the measured seismic records do not match the site conditions and fortification requirements of the building, some artificial methods can be used to adjust the seismic waves. In this paper, the proportionality method is used for the example, since the input seismic wave data is the result of amplitude and predominant period adjustment of measured seismic records with similar site conditions.
5. Dynamic equation and solution

Conclusion
1. Using FRP material can effectively enhance the aseismic capacity of frame structure and obviously improve the deformation and failure caused by earthquake.
2. The improvement of structural strength is closely related to reinforcement methods. The results show that the strength of the frame strengthened by N SM method is increased by about 20% compared with the E B method.
3. The burial model can predict the possible position of plastic hinge and judge the failure mode of frame under different reinforcement methods.
4. The location of plastic hinges changes compared with that without fiber reinforcement. The example shows that the location of plastic hinges has shifted from the top of the bottom column to the end of the beam, which improves the failure mode of the structure and increases the energy consumption reserve of the frame.
Bạn có thể tìm thấy mọi thứ bạn cần ở đây. Hãy tin tưởng và thử nghiệm các sản phẩm này, bạn sẽ thấy sự khác biệt lớn sau đó.
Lớp bọc sợi carbon đơn hướng, cường độ cao được bão hòa trước để tạo thành lớp bọc polyme gia cường sợi carbon (CFRP) dùng để gia cố các cấu kiện bê tông kết cấu.
Dải / tấm polyme gia cường sợi carbon (CFRP) cường độ cao để gia cố kết cấu và sửa chữa bê tông
Tấm polyme gia cường sợi carbon (CFRP) ứng suất trước dùng để gia cố sàn, dầm nhằm tăng độ cứng, giảm biến dạng và độ võng của các cấu kiện, giảm vết nứt, tránh và ngăn ngừa nứt.